庙宇、坟山的社群化与新加坡华人移民帮群组织之建构:
兼对东南亚华人社会结构研究的新思考(下)
厦门大学历史系 曾玲
四 绿野亭运作系统的建立与制度化
(一)组织机构与坟山管理系统的建立
1.组织形态的演化
根据会议记录、账本等,绿野亭组织机构的建立,历经了一个发展演化之过程。以下是笔者根据相关文献制作的一份表格:
表3 绿野亭管理形态的演变:光绪壬寅至民国二十二年(1898-1933)
年代
| 管理者
| 社群所属
|
光绪戊戌至辛丑(1898-1901)
| 经理陈泗隆
| 广帮
|
光绪壬寅至乙巳(1902-1905)
| 经理协利当
| 客帮
|
光绪乙巳七月初十至戊申九月
(1905.9-1908.9)
| 经理裕和号赵沛棠
| 广帮
|
光绪戊申九月初二至辛亥九月初二
(1908.9-1911.9)
| 经理大和当郭吉川
| 客帮
|
辛亥九月初五至民国甲寅三月十六
(1911.9-1914.3)
| 经理陈天送
| ?
|
民国甲寅三月十七至丁巳三月十三
(1914.3-1917.3)
| 香山(中山)会馆
信昌隆黄史卿代黄云辉收
| 广帮
应和
|
民国丁巳四月初十至庚申二月二十一
(1917.4-1920.2)
| 正总理冈州会馆(广帮)广泰号朱述筱
副总理大埔帮朱锐宸谭清源
|
民国庚申三月十三日至癸亥二月初九
(1920.3.12-1923.2.9)
| 正总理大埔帮刘登鼎
副总理肇庆会馆牛车水何锐昌号何思观
|
民国癸亥二月初九至乙丑二月二十八
(1923.2.9-1925.2.28)
| 正总理番禺会馆陈籍卿
副总理应和馆梁谷欣
|
民国乙丑二月二十八至丁卯二月
(1925.2.28-1927)
| 正总理应和馆陈翼扶
副总理东安会馆陈子番
|
民国丁卯三月十八至己巳三月初三
(1927.3.18-1929.3)
| 正总理东安会馆刘灿辉
副总理应和馆陈翼扶
|
民国己巳三月初三至辛未年三月初二
(1927.3-1931.3)
| 正总理丰永大蓝禹甸
副总理香山会馆林煜
|
民国辛未三月起至癸酉二月三十日
(1931.3-1933.2)
| 正总理香山会馆林煜
副总理丰永大蓝竞余
|
根据上述内容,从1898年到1932年,绿野亭管理形态的演化大致经历了三个阶段:
第一阶段从1898年持续到1914年3月。这一时期,广、客移民以福德祠为总部,以两帮的商号如“协利当”或个人如“陈天送”,三或四年一任轮流管理总机构。

图10 广、客移民以福德祠为总部,以两帮商号、轮流管理总机构。
资料来源:曾玲主编《福德祠绿野亭文献汇编之三:1887-1933年海唇福德祠绿野亭义山逐岁进支簿》,新加坡华裔馆 2005年出版,第38页。
第二阶段从1914年延续到1922年。在这一阶段,绿野亭的管理方式出现了两个变化。其一,虽然福德祠仍是总机构的总部,但在民国三年3月“香山会馆接管进支总结”,显示会馆开始取代个人或商号进入绿野亭管理系统。其二、出现“总理”、“副总理”等的机构设置和在报刊上“举总理”的机制,如账本中有“丁巳年三月初三支国民报举总理4元”、“三月十三日支总汇报举总理3.5元”的记录,表明绿野亭组织机构的设置已经开始趋向制度化和规范化。

图11 会馆开始进入海唇福德祠绿野亭的管理系统
资料来源:曾玲主编《福德祠绿野亭文献汇编之三:1887-1933年海唇福德祠绿野亭义山逐岁进支簿》,新加坡华裔馆 2005年出版,第38页
第三阶段开始于民国十二年(1923)。这是绿野亭建构制度化的组织管理机构的重要阶段。这一年绿野亭以广、客三社群为原则建立董事制度,由属下的“广惠肇”九所会馆、“应和会馆”和“丰永大公会”等十一所社团派出20名代表组成董事部来管理福德祠。账本中开始出现与董事会有关的记录。如民国十二年二月九日“支董事叙会香酒菜银38。30元”、三月二十六日“支董事往绿野亭看山车费2元”。

图12 广、客十一所会馆组成管理海唇福德祠绿野亭的董事部
资料来源:曾玲主编:《新加坡福德祠绿野亭文献汇编之一:1920-1927年会议记录》,新加坡华裔馆2005年,页50-52。
上述三个阶段的演化显示,从19世纪80-90年代到20世纪20年代,绿野亭管理经历了一个从以福德祠为总部、以广、客个人或商号轮流管理,到广、客十一所会馆组成管理总机构的董事部的发展过程。这个过程不仅涉及绿野亭管理者和管理机构的制度化,亦有助于促进其内部的社群整合。
2.庙宇与坟山管理的规范化
作为绿野亭运作主要内容的庙宇与坟山管理,在这一时期也历经了一个规范化的发展过程。
虽然福德祠在广、客社群内部的整合中发挥着举足轻重的作用,然而在数十年中并没有建立起制度化的管理机制。在《福德祠二司祝讼公碑》,首次确定“司祝”的社群所属和广、客分帮聘请的办法,“众请司祝四人,广帮二名、嘉应丰永大帮二名,其人归执年炉主酌请”。
随着绿野亭进入制度化的发展阶段,自开埠以来一直扮演总机构的福德祠逐渐作为绿野亭的一个组成部分而独立出来,对“司祝”社群所属的限制也在民国后逐渐淡化。民国三年,经广、客两帮公议,决定将庙宇的司祝由“值年炉主分帮约请”改为“招人投票承理”。投标人以“月纳八十元香油金”标得承理权。另外,还规定庙宇司祝逐届以两年为期,“限满重新招票,价高而善祀神者得之”。经此改变,“司祝”已不受社群所属的限制而回归庙宇管理者的身份。
坟山管理处理的是先人的营葬事宜,所面对却是广、客三社群的生者,因而是绿野亭运作系统中最重要的组成部分。在这一时期绿野亭建构制度化管理系统的过程中,有关坟山的管理主要涉及坟山的埋葬形态、“春秋二祭”及“巡山制度”等内容。
其一、绿野亭的埋葬形态
根据文献纪录,到20世纪20年代,绿野亭坟山内已经确立“个人坟地”和“社团总坟”两类基本的葬地形态。有关个人坟地,所能见到的较完整的记录是1957年绿野亭坟山的迁葬记录,“有县籍姓氏者4341穴,无县籍姓氏者7177穴”,总计共有“11518穴”。
另一类埋葬形态是“社团总坟”。所谓“社团总坟”,是东南亚移民时代华人社团所创造的一种埋葬方式。“社团总坟”由会馆、宗亲会、行业公会等不同类型华人社团设立于华人坟山内。华人社团修建总坟的目的不仅是为了解决社群成员身后的安葬与祭祀问题,亦是为了在帮群分立的华人社会,建构虚拟的“社群共祖”作为社群认同的象征以整合社群。
绿野亭坟场内的“社团总坟”依其性质又可分成两大类,一类是绿野亭属下各类社团建立的总坟,另一类是由绿野亭设立的“绿野亭总坟”。根据文献记载,在总机构创建初期,广、客社团就在青山亭设立总坟。例如,1849年刘关张赵四姓移民在青山亭建立“四姓先人坟墓”。1840年以后,广、客社团继续在新开发的绿野亭坟山设立总坟。如1885年三水移民在绿野亭“三水义冢”等。
有关“绿野亭总坟”的最早记录,根据保留下来的账本,1921年7月和10月,绿野亭支出做总坟的工料银分别为169.40元和159.50元。20世纪20年代正是绿野亭制度化发展的重要阶段,修建具有象征“绿野亭认同”的“绿野亭总坟”,对于凝聚绿野亭内部的广、客三社群,无疑具有重要的意义。
上述绿野亭坟场内的“绿野亭总坟”和“属下各类社团总坟”的分类,是绿野亭内部社群结构与认同形态在埋葬形态上的反映。
其二、春秋二祭与巡山制度
“春秋二祭”是中国社会祭祀祖先的传统习俗。在每年农历清明节和重阳节期间,中国人多以家庭与家族为单位举行祭扫祖先坟茔活动,此称为“春秋二祭”。伴随中国华南移来,“春秋二祭”习俗也传到东南亚。与中国本土不同的是,除了祭祀家族先人,在东南亚许多华人社团还祭祀“社群共祖”——各类社团总坟,以此来强调和凝聚社群成员对所属社团的认同感。
19世纪有关青山亭和绿野亭的祭祀先人活动,主要保留在碑文中。到了20世纪,有关祭总坟的记录频繁地出现在绿野亭账本与议案簿中。根据账本纪录,绿野亭祭总坟开始于1920年,该年因“春祭”支出160元。从这一年开始直到账本结束的1933年,绿野亭每年都有“春祭”“祭总坟”的开支记录。而“秋祭”则开始于1928年。另外,在民国九年至十六年的“福德祠绿野亭议案簿”中,亦有大量绿野亭董事部“祭总坟”的记载。例如1923年绿野亭成立董事部,此时正值清明节前后,董事部随即议决进行“祭总坟”工作。为此董事部成立了一个包括番禺、香山、南顺、东安、三水、冈州、惠州、肇庆、宁阳、永定、丰顺、嘉应、大埔、应合等会馆的代表共计15人所组成的“春祭”委员会,准备了“金猪”、酒、茶、鞭炮等“春祭之应用品”。
在绿野亭坟山管理规范化的过程中,“巡山制度”是其中另一项重要的内容。所谓“巡山”,即定期巡视坟场,以免坟场遭到破坏。1913年2月16日的账本中有“支番人查山车工两元”的纪录。1923年董事部成立,这一年的3月26日、4月14日、4月20日、4月29日、5月1日“董事往绿野亭看山车费”共花费60元。此后到账本结束的1933年,有关董事巡山车费的支出大量出现在账本中。说明在1923年董事成立后,“董事巡山”已经成为绿野亭坟山管理的重要制度之一。

图13 海唇福德祠绿野亭坟山内的总坟与春祭
资料来源:《福德祠绿野亭沿革史特刊》,新加坡福德祠绿野亭,1963出版(非卖品)页5。
此外,绿野亭的坟山管理还包括休整道路、凉亭、割平坟场内过高的茅草等项常年工作。
(二)章程的颁布与管理运作系统的制度化
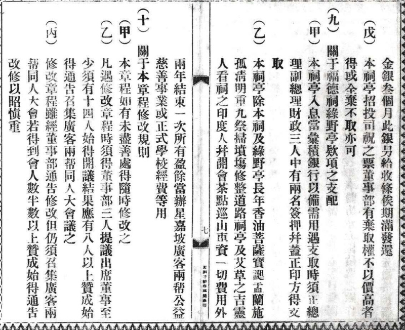
1927年8月21日,绿野亭章程经同人大会通过,正式刊印施行。这是绿野亭出现在新加坡华人社会一百年后所颁布的第一部章程。

图14 新加坡海唇福德祠绿野亭1927年颁布的第一份章程(一)

图15 新加坡海唇福德祠绿野亭1927年颁布的第一份章程(二)

图16 新加坡海唇福德祠绿野亭1927年颁布的第一份章程(三)

图17 新加坡海唇福德祠绿野亭1927年颁布的第一份章程(四)

图18 新加坡海唇福德祠绿野亭1927年颁布的第一份章程(五)
资料来源:曾玲《福德祠绿野亭发展史:1824-2004》(附录一),新加坡华裔馆2005年出版,页72-77。
该章程的颁布,显示历经一个世纪的发展与演化,绿野亭已基本完成内部的社群整合与管理运作制度化的历史任务。
1.确认绿野亭的基本功能与社群边界
章程首次确定庙宇和坟山为绿野亭的基本组成部分,并将社团定名为“新加坡海唇福德祠绿野亭”。这显示原本作为庙宇与坟山名称的“海唇福德祠”和“绿野亭”,透过章程的条规同时也被赋予社团组织的形态,进而确认绿野亭在百年发展中所承载的庙宇坟山管理机构与整合广、客移民社群组织的双重功能。在章程的“宗旨”条中,确认由广、客的“广惠肇”、“嘉应五属”、“丰永大”构成绿野亭的整体,规定“绝对保护维持福德祠绿野亭产业广客两帮七属广惠肇嘉丰永大义冢坟场为宗旨”,这既是对一百年来广、客移民在新加坡社会脉络下所历经的整合进程的总结,亦是以章程的形式确认这个跨方言与跨地缘华人帮群组织的社群边界。
2.确认广、客三社群为社团的基本组织架构
其一、以广、客三社群的会馆为社团成员设立董事部。
根据议案簿的纪录,有关绿野亭设立“董事部”的讨论,开始于民国九年四月的会议。当时南顺会馆的陈赞明在会上提出设立16名“叶理”(即董事),其中广、客两帮各8名。广帮的8名,分别由惠州、南顺、番禺、三水、东安、冈州、宁阳、香山等会馆的代表担任。客帮的8名,则“丰永大”和“嘉应五属”各占4名。这个提议得到与会者的一直赞成。民国十二年,绿野亭正式成立董事部,董事部由广、客各派10名、总计20名董事所组成。这一年3月25日的会议记录中有一份“癸亥年职员表”。这是在绿野亭保留下来的文献中第一份完整的绿野亭董事部成员名单。根据这份名单,绿野亭确定由当年已经成立的广、客十一所会馆即广属的番禺会馆、香山(后改为中山)会馆、宁阳会馆、冈州会馆、三水会馆、惠州会馆、东安会馆、肇庆会馆、南顺会馆;客属的应和会馆、丰(顺)永(定)大(埔)公会为绿野亭的基本成员,并由这些会馆派出20名代表作为董事组成董事部,承担管理绿野亭的组织功能。
章程确认1923年成立的董事部为绿野亭的组织机构和参与1923年董事部的广、客十一所会馆为社团成员,并规定在1926年以后成立的广、客之会馆不再具有会员的资格。这是绿野亭在创立一百年后,首次以章程条规的形式确定其管理机构和成员组成。
其二、以广、客三社群为基干的董事部组织法。
章程在确认董事部为绿野亭的组织管理机构的同时,也规范了董事部组织法。该组织法最重要的部分是确认1923年董事部以广、客两帮三社群为基干的组织体系和广、客“轮值”的管理制度。
关于董事部的组织方式,章程规定“本亭祠设二十人,计广惠肇十名应和馆五名,五名丰永大公司五名组织之”。“由本董事部二十名内推正总理、副总理、财政、司理各一人、查数两人。其余概为董事分任各项职责”。
章程也确定广、客两帮三社群“轮值”的管理制度。由广、客轮流管理总机构,是自以福德祠为总部以来所形成的一项传统。绿野亭百年的发展与演化的历史显示,这一管理方式有助于绿野亭处理与整合其内部“分中有合、合中有分”的社群关系。章程在确认1923年董事部成立时制定的组织原则与管理系统的基础上,以条规的方式规范董事部核心成员由广、客轮流担任的“轮值制”及具体办法:“本亭祠正总理、副总理、司理、财政为广客两帮双方轮值担任,两年为期。例如本届广帮担任正总理、司理,客帮则担任副总理、财政,下届互相更换。每届以两年为期,期满改选。惟财政员倘有挟款潜逃及负欠公款等情,须有该邦负责偿还以维公款”。
章程还对正、副总理、财政、司理、查数、各部董事的职权、职责等,以及绿野亭召开董事会和同人大会等问题做了明确的规定。
其三、确认庙宇与坟山的管理制度。
确认并规范绿野亭在20世纪初所建立的庙宇与坟山管理制度,是1927年章程的另一重要内容。
福德祠的“司祝”经民国初年的变更,已由“招人投票承理”取代原来的“执年炉主分帮约请”。此项打破“司祝”社群限制的改革在章程中被确定下来。章程中有关庙宇的另一项条规是款项的支配。与司祝问题一样,该项条规改变光绪十二年由广、客“两籍各沾一半”的做法,由董事部来管理庙宇的款项。值得注意的是,条规中增加了一项民国初年改革中所没有的内容,即祠亭收入的款项除支付运作开销之外,“有盈余当办新加坡广、客两帮公益慈善事业或正式学校经费等用”。这显示,20世纪以后绿野亭在其运作中内容中,除庙宇与坟山外,还增加了关注社会公益与教育的新功能。
关于坟山管理,章程在第七款“关于绿野亭地坟规则”中着重确认1923年董事部成立施行的“董事巡山”制度,并就有关巡山的方法、费用等事宜做了具体的规定。为了让“董事巡山”制度能常年不断地坚持下去,“规则”还规定:“至年终,本祠按部核算,计董事一名巡山一次,本祠应贴回车力银一元。如遇值期缺巡一次,每次补香油两元,不得反抗”。上述制度经1927年章程确认,一直持续到1956年坟山被新加坡政府征用后才宣告结束。
由绿野亭董事部主持的“春秋二祭”在章程中没有直接涉及,但大量出现在20世纪20年代以后的账本与议案簿中有关“春秋二祭”的纪录显示,这项具有整合功能的祭祀活动在20世纪20年代以后已经制度化,并成为绿野亭运作的重要内容之一。迨至1937年,一项关于祭祀的新条例进入董事部的议事日程。这一年秋祭“公众议决,此后春秋祭墓,所有青山亭、绿野亭,分散各属坟山之总坟散墓,应查点清楚,记录保存,每有祭祀应行一律预日斩草挂纸,以便至期焚香祭拜”。至此,由总机构主持的“春秋二祭”,其范围扩大到广、客三社群所属的广惠肇碧山亭、嘉应五属义山、丰永大毓山亭三坟山。由于祭扫广、客四坟山的“春秋二祭”对于强调与促进广、客三社群的“绿野亭认同”具有重要的意义,该项条规至今仍被执行,虽经新加坡社会的发展变迁而没有改变。它不仅成为绿野亭运作中的一项传统内容,亦是承载广、客移民社群整合历史记忆的重要制度之一。
综上所述,经过19世纪末到20世纪初的发展,绿野亭在社群整合的基础上于1920年代建立制度化的组织架构和规范化的管理系统。1927年颁布的首部章程,总结与确认了绿野亭在新加坡社会脉络下所历经的一百年的社群整合与制度化发展的成果,亦为该帮群总机构在20世纪的演化提供了一个重要的纲领性文件。
五 “帮”与“帮群组织”之建构:对东南亚华人社会结构研究的新思考
本文所讨论的绿野亭是一个在新加坡开埠初期出现在华人移民社会舞台上的帮群组织。在新加坡殖民地时代,绿野亭即是庙宇与坟山组织,处理广、客移民的信仰和身后的丧葬祭祀等事宜,也是广、客移民最高联合机构,承担凝聚与整合两社群的功能。本文运用绿野亭及其与所属社群相关的坟山、庙宇、会馆、学校等保留下来的账本、会议记录、章程等各类珍贵新资料,考察从19世纪20年代至20世纪20年代、绿野亭如何运用伴随移民传承而来的中华文化资源,透过庙宇、坟山的社群化、在新加坡殖民地的社会脉络下所历经的移民社群整合与帮群组织建构的历史进程,进而在审视既有研究成果的基础上,就有关东南亚华人社会结构研究提出一些新的思考。
本研究证实陈育崧提出的有关“帮”是东南亚华人社会结构特征的论断。在笔者所收集的二战前绿野亭及其属下社群相关的各类文献中,尤其是账本、会议记录等,基本未见“福建帮”等新加坡其他帮群的记载。从文献的社群属性,显示殖民地时代新加坡华人移民社会“帮”及“帮群组织”之存在。另一方面,有关东南亚华人移民帮群社会结构的产生,陈育崧等学者特别强调“方言”因素的作用。本研究所考察的绿野亭,其属下包含有广、客的“广惠肇”和“嘉应五属”、“丰永大”的两大方言社群,这一方面说明不同移民社群的方言差异的确对华人帮群之形成有影响,但与此同时也显示,“方言”并非唯一的制约因素。
在总结与审视前辈学者研究成果的同时,本文对殖民地时代华人移民社会结构与特征的考察,呈现更多的研究内容:
第一、“帮”与“帮群组织”历经一个建构的历史进程。
本文对绿野亭的考察显示,在华南移民存在方言差异与殖民统治政策等诸多因素制约下,华人移民社会“帮”结构的形成与“帮群组织”之建立,历经一个历史进程。在绿野亭这个个案,这一历史进程是伴随“神”“鬼”的社群化与帮群组织建构的制度化而完成。
“神”是指本文所讨论的海唇福德祠、忘海大伯公等庙宇中所祭拜的“大伯公”神明、“鬼”则是指埋葬在青山亭、绿野亭、碧山亭等广、客设立的帮群坟山中的“先人”。神明信仰与坟山崇拜是中华传统文化的重要组成部分。绿野亭的历史显示,当闽粤移民南来新加坡拓荒,这些传统文化也随之传入,并历经了一个“社群化”的转换过程。透过这一过程,“神”与“鬼”被赋予“嘉应五属”、“丰永大”、“广惠肇”等的社群边界,从而承担起凝聚与整合广、客移民的重要功能。
如果说“神”“鬼”的“社群化”为广、客移民社群整合提供重要的文化资源与认同纽带,那么,作为广、客三移民社群的总机构,绿野亭在历经一个世纪的运作之后建立的组织机构与规范化的管理系统,则是为未来的可持续发展提供了制度上的保障。
总之,从十九世纪二十年代开始出现在华人移民社会舞台,到二十世纪二十年代第一部章程的颁布,作为帮群组织的绿野亭在新加坡殖民统治的时空脉络下历经了一百年的发展进程。这一历史过程亦是华南移民在新土地上实现社群整合与社会建构的一个缩影。
第二、“帮”与“帮群组织”所涉及的内涵。
本文所讨论的绿野亭个案,有助于思考移民时代华人社会“帮”与“帮群组织”所涉及的内涵。
在包括人类学、社会学、历史学等多个学科的海外华人社团研究中,多将地缘、血缘、业缘等因素视为华人移民人群结成关系之文化纽带,并认为是基于这样的认同关系而建立了会馆、宗亲会、行业公会等华人社团。换言之,移民个人的认同意识及其差异,是华人社团的分类与建立的内在文化因素。从这个意义上,笔者以为,“帮”殖民地时代华人移民社会的另一种“分类法则”。不过,“帮”并非针对移民个体而是群体,是对华人移民社群关系的描述。因此,如果说会馆、同乡会、宗亲会等华人社团是基于移民人群结成关系而建立,那么“帮群组织”则是华人移民社群分类与整合的产物。
有鉴于“帮”与“帮群组织”具有华人移民社群分类与整合之特征,一方面,“帮”与“帮群组织”能够提供容纳更多单一华人社群的组织架构与整合机制。以本文所讨论的个案为例:作为广、客三社群总机构的绿野亭,其内部显现“分中有合、合中又分”的社群关系,为此,绿野亭建构了一整套能够“整合大群、凝聚小群”的帮群组织管理架构,并透过章程的制定将其制度化。绿野亭的组织机构从殖民地时代延续至今,对于维持这个帮群组织的运作发挥了重要作用。这充分显示“帮”与“帮群组织”所具有的社群整合之功能。另一方面,从绿野亭作为“广惠肇”、“嘉应五属”、“丰永大”帮群组织的属性看,在华人社会建构的历史进程中,“帮”与“帮群组织”又是一把双刃剑,它在处理华人移民社群整合过程中,亦具有在华人社会内部将华人社群分类的功能。这在笔者所收集文献具有鲜明的社群属性已得到证实。这亦是陈育崧指出“帮”是东南亚华人尤其是新马华人社会结构基本特征的奥秘之所在。
那么作为殖民地时代华人移民社群分类与整合产物的“帮”与“帮群组织”,其内部结构与社群认同又呈现怎样的形态?
对帮群组织绿野亭的考察,显示其运作内容涵盖了“人”、“神”、“鬼”三个系统。所谓“人”的系统,指的是以祖籍地缘、方言、姓氏血缘等宗乡文化为纽带而建立华人移民社团如应和会馆、丰顺会馆、茶阳大埔会馆、永定会馆等。“神”的系统是指具有广、客三社群边界的庙宇组织,如海唇福德祠、忘海大伯公等。“鬼”的系统则亦指那些处理本社群先人丧葬祭祀的坟山组织,如青山亭、绿野亭、广惠肇碧山亭、嘉应五属义山、丰永大坟山等。事实上,在包括新加坡在内的东南亚华人移民社会,帮群组织内部涵盖“人”“神”“鬼”三个系统是普遍的现象。在新加坡,最大的华人帮群“福建帮”,其在开埠初期即拥有处理先人丧葬祭祀的恒山亭坟山、以妈祖为主神的天福宫和福建移民社群总机构福建会馆。而以玄天上帝为主神的粤海清庙、处理先人丧葬与祭拜事宜的泰山亭和潮州八邑会馆则属于潮州移民帮群。在马来西亚的柔佛州首府新山,其华人社会的五大帮群则共同拥有柔佛古庙、中华公会和埋葬与祭祀先人的义山。由此可见,透过以宗乡文化为纽带而建立的会馆、宗亲会等各类社团、运用中国传统文化中的神明信仰和坟山崇拜为资源而建立的具有社群边界的庙宇与坟山组织、华南移民在殖民地时代的东南亚建构了具有社群分类与整合功能的帮群社会。
就社群关系与认同关系而言,由于“帮”具有华人社群分类与整合之功能,故“帮群组织”内部的社群关系与认同形态呈现复杂之状况。在本文所考察绿野亭这个帮群组织内部,既有广、客三社群共有的“绿野亭认同”;又有“嘉应五属”、“丰永大”、“广惠肇”中的“惠州”对“客帮”的认同、“广肇”对“广府帮”的认同;亦有广、客三社群对各自所属的“嘉应五属”、“丰永大”、“广惠肇”的认同。因此,复杂的社群关系与多元的认同形态,是殖民地时代华人移民帮群社会的一个重要特征。
第三、“帮”及“帮群组织”与会馆等华人社团的关系。
如前所述,自新加坡开埠,南来拓荒的闽粤移民在殖民地时代的东南亚重建家园的历史进程中,会馆、宗亲会等社团与“帮”及“帮群组织”几乎就同时存在于华人社会。有些华人社团虽是冠以会馆名称,但实际上扮演的是帮群总机构的角色与功能。例如新加坡开埠三年后成立的应和会馆,是南来的嘉应五属移民帮群的总机构。在殖民地时代,应和会馆设立学校、坟山,与“丰永大”共建望海大伯公,以解决“嘉应五属”移民的教育、宗教信仰以及身后的丧葬与祭祀等事宜。而1840创立的福建会馆和1929成立潮州八邑会馆则是新加坡福建帮和潮州帮的总机构。另一方面,在每个帮群组织的内部,都涉及或包括诸多会馆、宗亲会、行业公会等社团与团体。本文所讨论的帮群组织绿野亭,在1927年订立的章程中,明确规定以“广惠肇”属下的九会馆和应和会馆、“丰永大”等共十一所社团为该组织的团体会员。与此同时,“丰永大”属下包括了丰顺、永定、茶阳大埔三会馆。而作为“嘉应五属”总机构的应和会馆,亦涉及梅县、兴宁、五华、平远、焦岭等移民所成立的多所会馆、同乡会等。因此,考察与讨论“帮”与“帮群组织和会馆、宗亲会等华人社团的关系,是一个必须面对的研究课题。
本文的研究,为上述问题的讨论提供了一个有价值的研究个案。首先,不论是作为帮群组织的绿野亭,还是其所属的广、客三社群的会馆、同乡会、宗亲会、坟山、庙宇等各类社团组织形态,都具有整合与凝聚所属移民的共同特点。因此,在“华人移民整合”的意义上,绿野亭与属下各类社团的基本功能是相同的。然而另一方面,作为具有社群分类与整合特征的绿野亭,相比属下的各类社团,则具有更大的整合空间,它可以容纳广、客三社群所有的各类组织与社团。由此可见,“帮”与“帮群组织”,相对于由单一社群所组成的会馆等社团,具有凝聚与整合更多社群的功能。因此,就华人社会的发展进程而言,伴随“帮”结构的形成与“帮群组织”的建立,标志着华人移民的社群整合与华人社会的建构进入一个新的历史阶段。
需要指出的是,限于篇幅,本文无法就华人移民社会的“帮群组织”与会馆等华人社团做更深入的研究与考察。不过,无论如何,对该课题的讨论,将有助于学界从一个新的视角讨论殖民地时代华人移民的社群关系。
综上所述,本文以新加坡一个具有近两个世纪发展历史的帮群组织绿野亭为研究个案,运用华人社团账本、会议记录等珍贵新资料,一方面从华人移民社会内部,具体地了解与考察近现代以来,南来拓荒的华南移民如何在殖民地时代新加坡的时空脉络下、运用传承自祖籍地的文化资源再建其社会结构与文化形态的历史图像。另一方面,透过对这批珍贵文献的整理与解读,本文力图从方法论上重新审视与反思既有的东南亚华人社会结构与形态研究成果,并在前人研究基础上提出一些新思考。笔者认为,在东南亚殖民地时代,华人移民社会“帮”结构的形成与“帮群组织”的建立,是华人社会发展与演化进程中的重要阶段。笔者阐述了“帮”与“帮群组织”所历经的建构历史过程及具体的内容;讨论了“帮”与“帮群组织”所涉及的内涵,这包括“帮”与“帮群组织”所具有社群分类与整合功能、其内部结构与认同形态;考察了“帮”及“帮群组织”与会馆等华人社团的关系,并指出对该问题的考察,有助于学界从一个新视角讨论殖民地时代东南亚华人移民的社群关系。
(原载《华人研究国际学报》第七卷第一期, 2015年6月。注释从略。)
曾玲《庙宇、坟山的社群化与新加坡华人移民帮群组织之建构:兼对东南亚华人社会结构研究的新思考》.pdf